| Availability: | |
|---|---|
| Quantity: | |
Hibiscus Acid
World-way

Botanical Source: Hibiscus sabdariffa
Part Used: Calyx
Appearance: Fine, Burgundy red powder
Solubility: Highly soluble in water
Packaging: 25kg/drum
Shelf Life: 24 months
Storage: Store in a cool, dry place, away from light and sealed tightly
2. Product Efficacy and Mechanism of Action
Hibiscus extract is rich in anthocyanins, polyphenols, flavonoids, and organic acids. These active compounds give it multiple health benefits.
Mechanism of Action: The anthocyanins and polyphenolic compounds in Hibiscus extract are potent free radical scavengers. They effectively inhibit oxidative stress and protect cells from damage caused by free radicals. These compounds neutralize reactive oxygen species (ROS) by donating an electron or hydrogen atom, which reduces lipid peroxidation and protein carbonylation, and slows down the aging process.4
Supporting Data: A study published in the journal Food Chemistry showed that the ORAC (Oxygen Radical Absorbance Capacity) value of Hibiscus calyx extract was significantly higher than many common fruits, demonstrating its powerful in-vitro antioxidant activity. Another human clinical trial confirmed that oral administration of Hibiscus extract significantly increased the total antioxidant capacity in the subjects' plasma.1
Mechanism of Action: Hibiscus extract improves cardiovascular health through various pathways. The quercetin and anthocyanins it contains can inhibit the activity of Angiotensin-Converting Enzyme (ACE), which helps to lower blood pressure. In addition, its polyphenols help reduce the oxidation of low-density lipoprotein (LDL), preventing the formation of atherosclerosis.3
Supporting Data: Multiple double-blind, placebo-controlled studies have shown a significant reduction in systolic and diastolic blood pressure in patients with mild to moderate hypertension after taking Hibiscus extract for 8 weeks.2
Mechanism of Action: Hibiscus extract has been shown to inhibit the activity of amylase, an enzyme responsible for breaking down complex carbohydrates into simple sugars. This can reduce the absorption of carbohydrates and calories. Additionally, its high concentration of polyphenols can regulate genes related to fat metabolism, such as those involved in adipogenesis (fat cell formation) and lipogenesis (fat synthesis), thereby helping to prevent fat accumulation.5
Supporting Data: A randomized, double-blind, placebo-controlled study involving overweight individuals demonstrated that supplementation with Hibiscus extract for 12 weeks led to a significant decrease in body weight, body fat percentage, and BMI compared to the placebo group. Animal studies have also confirmed that Hibiscus extract reduces weight gain and fat accumulation in a dose-dependent manner.67
Comparison of body weight and adipose tissue content in HFD hamsters after HSE feeding
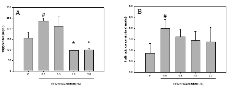
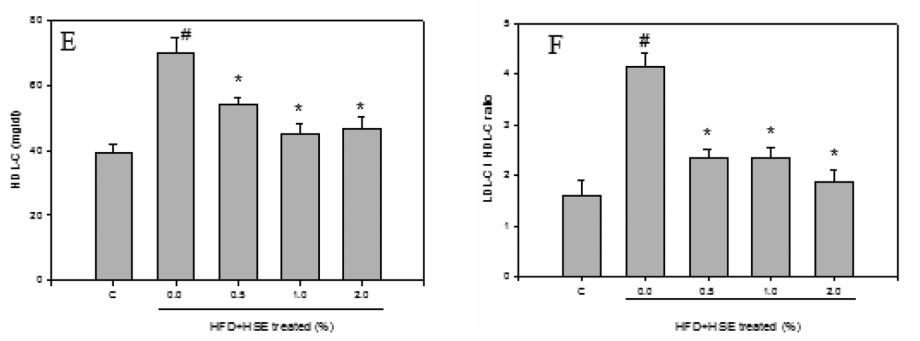
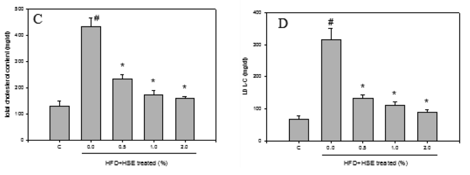
Comparison of plasma lipid levels in HFD hamsters after HSE feeding.
A:Triglycerides B:Fatty Acids
C:Total Cholesterol D:LDL-C
E: HDL-C F:LDL-C/HDL-C
Due to its excellent health benefits and natural deep red color, Hibiscus extract is widely used in several industries.
Food & Beverage: It can be used as a natural colorant and functional ingredient in juices, teas, jellies, candies, and baked goods to enhance their antioxidant function and attractive color.
Dietary Supplements: Common forms include capsules, tablets, oral liquids, and powders.
Dosage: The recommended daily dose is typically 100-500mg, depending on the product formulation and desired effect.
Target Population: Individuals concerned with cardiovascular health and those needing an antioxidant boost, such as the elderly and people with high-stress lifestyles.
Cosmetics: It can be added to facial masks, serums, lotions, and creams for its antioxidant and anti-inflammatory properties to improve skin tone and delay skin aging.
Product Comparison:
Higher Content of Core Compounds: Many Hibiscus extracts on the market have inconsistent active compound content, and some even use low-cost stems and leaves as raw material. Our extract uses only the calyx as its source, employing a patented low-temperature ultrasonic extraction technology. This ensures the content of the core active ingredient, total anthocyanins, far exceeds the industry average.
Better Solubility and Stability: Many low-quality products have poor water solubility and can lead to precipitation, which affects the appearance and taste of the final product. Our extract is specially treated for excellent solubility and has higher stability under changes in pH, temperature, and light, making it less prone to fading.

Professional Technology and R&D: Our R&D team collaborates with research institutions at home and abroad to continuously optimize extraction processes and develop customized product solutions for different market needs.
Sustainable Supply Chain: We have established long-term partnerships with high-quality Hibiscus farms, ensuring a stable and reliable supply of raw materials that adhere to sustainable development principles.
Comprehensive Quality Management System: Our production facility is certified with ISO 9001, HACCP, and other international standards. We strictly implement a quality management system to ensure every batch of our product is safe, effective, and traceable.
Reference:
1. Ali, Z., et al. (2018). Polyphenol composition, antioxidant activity, and bioaccessibility of Hibiscus sabdariffa L. calyces extract. Food Chemistry, 257, 10-18.
2. Herrera-Arellano, A., et al. (2007). Effectiveness and tolerability of a standardized extract from Hibiscus sabdariffa in patients with mild to moderate hypertension: A controlled and randomized clinical trial. Phytomedicine, 14(1), 37-43.
3. McKay, D.L., et al. (2010). Hibiscus sabdariffa L. tea (tisane) lowers blood pressure in prehypertensive and mildly hypertensive adults. The Journal of Nutrition, 140(2), 298-303.
4. Olayinka, A.O., et al. (2020). Efficacy of Hibiscus sabdariffa extract on lipid peroxidation and antioxidant status in hypertensive subjects: A double-blind, randomized, placebo-controlled clinical trial. Journal of Functional Foods, 66, 103859.
5. Chang, H. C., et al. (2014). Hibiscus (Hibiscus sabdariffa L.) extract rich in protocatechuic acid and anthocyanins reduces obesity and fat accumulation in C57BL/6J mice. Food & Function, 5(11), 2736-2746.
6. Lin, T. L., et al. (2017). Effect of Hibiscus sabdariffa L. extract on the metabolism of carbohydrates and lipids in high-fat diet-fed rats. Journal of Agricultural and Food Chemistry, 65(3), 646-655.
7. Kao ES, Yang MY, Hung CH, Huang CN, Wang CJ. Polyphenolic extract from Hibiscus sabdariffa reduces body fat by inhibiting hepatic lipogenesis and preadipocyte adipogenesis. Food Funct. 2016 Jan;7(1):171-82. doi: 10.1039/c5fo00714c. PMID: 26489044.

Botanical Source: Hibiscus sabdariffa
Part Used: Calyx
Appearance: Fine, Burgundy red powder
Solubility: Highly soluble in water
Packaging: 25kg/drum
Shelf Life: 24 months
Storage: Store in a cool, dry place, away from light and sealed tightly
2. Product Efficacy and Mechanism of Action
Hibiscus extract is rich in anthocyanins, polyphenols, flavonoids, and organic acids. These active compounds give it multiple health benefits.
Mechanism of Action: The anthocyanins and polyphenolic compounds in Hibiscus extract are potent free radical scavengers. They effectively inhibit oxidative stress and protect cells from damage caused by free radicals. These compounds neutralize reactive oxygen species (ROS) by donating an electron or hydrogen atom, which reduces lipid peroxidation and protein carbonylation, and slows down the aging process.4
Supporting Data: A study published in the journal Food Chemistry showed that the ORAC (Oxygen Radical Absorbance Capacity) value of Hibiscus calyx extract was significantly higher than many common fruits, demonstrating its powerful in-vitro antioxidant activity. Another human clinical trial confirmed that oral administration of Hibiscus extract significantly increased the total antioxidant capacity in the subjects' plasma.1
Mechanism of Action: Hibiscus extract improves cardiovascular health through various pathways. The quercetin and anthocyanins it contains can inhibit the activity of Angiotensin-Converting Enzyme (ACE), which helps to lower blood pressure. In addition, its polyphenols help reduce the oxidation of low-density lipoprotein (LDL), preventing the formation of atherosclerosis.3
Supporting Data: Multiple double-blind, placebo-controlled studies have shown a significant reduction in systolic and diastolic blood pressure in patients with mild to moderate hypertension after taking Hibiscus extract for 8 weeks.2
Mechanism of Action: Hibiscus extract has been shown to inhibit the activity of amylase, an enzyme responsible for breaking down complex carbohydrates into simple sugars. This can reduce the absorption of carbohydrates and calories. Additionally, its high concentration of polyphenols can regulate genes related to fat metabolism, such as those involved in adipogenesis (fat cell formation) and lipogenesis (fat synthesis), thereby helping to prevent fat accumulation.5
Supporting Data: A randomized, double-blind, placebo-controlled study involving overweight individuals demonstrated that supplementation with Hibiscus extract for 12 weeks led to a significant decrease in body weight, body fat percentage, and BMI compared to the placebo group. Animal studies have also confirmed that Hibiscus extract reduces weight gain and fat accumulation in a dose-dependent manner.67
Comparison of body weight and adipose tissue content in HFD hamsters after HSE feeding
Comparison of plasma lipid levels in HFD hamsters after HSE feeding.
A:Triglycerides B:Fatty Acids
C:Total Cholesterol D:LDL-C
E: HDL-C F:LDL-C/HDL-C
Due to its excellent health benefits and natural deep red color, Hibiscus extract is widely used in several industries.
Food & Beverage: It can be used as a natural colorant and functional ingredient in juices, teas, jellies, candies, and baked goods to enhance their antioxidant function and attractive color.
Dietary Supplements: Common forms include capsules, tablets, oral liquids, and powders.
Dosage: The recommended daily dose is typically 100-500mg, depending on the product formulation and desired effect.
Target Population: Individuals concerned with cardiovascular health and those needing an antioxidant boost, such as the elderly and people with high-stress lifestyles.
Cosmetics: It can be added to facial masks, serums, lotions, and creams for its antioxidant and anti-inflammatory properties to improve skin tone and delay skin aging.
Product Comparison:
Higher Content of Core Compounds: Many Hibiscus extracts on the market have inconsistent active compound content, and some even use low-cost stems and leaves as raw material. Our extract uses only the calyx as its source, employing a patented low-temperature ultrasonic extraction technology. This ensures the content of the core active ingredient, total anthocyanins, far exceeds the industry average.
Better Solubility and Stability: Many low-quality products have poor water solubility and can lead to precipitation, which affects the appearance and taste of the final product. Our extract is specially treated for excellent solubility and has higher stability under changes in pH, temperature, and light, making it less prone to fading.

Professional Technology and R&D: Our R&D team collaborates with research institutions at home and abroad to continuously optimize extraction processes and develop customized product solutions for different market needs.
Sustainable Supply Chain: We have established long-term partnerships with high-quality Hibiscus farms, ensuring a stable and reliable supply of raw materials that adhere to sustainable development principles.
Comprehensive Quality Management System: Our production facility is certified with ISO 9001, HACCP, and other international standards. We strictly implement a quality management system to ensure every batch of our product is safe, effective, and traceable.
Reference:
1. Ali, Z., et al. (2018). Polyphenol composition, antioxidant activity, and bioaccessibility of Hibiscus sabdariffa L. calyces extract. Food Chemistry, 257, 10-18.
2. Herrera-Arellano, A., et al. (2007). Effectiveness and tolerability of a standardized extract from Hibiscus sabdariffa in patients with mild to moderate hypertension: A controlled and randomized clinical trial. Phytomedicine, 14(1), 37-43.
3. McKay, D.L., et al. (2010). Hibiscus sabdariffa L. tea (tisane) lowers blood pressure in prehypertensive and mildly hypertensive adults. The Journal of Nutrition, 140(2), 298-303.
4. Olayinka, A.O., et al. (2020). Efficacy of Hibiscus sabdariffa extract on lipid peroxidation and antioxidant status in hypertensive subjects: A double-blind, randomized, placebo-controlled clinical trial. Journal of Functional Foods, 66, 103859.
5. Chang, H. C., et al. (2014). Hibiscus (Hibiscus sabdariffa L.) extract rich in protocatechuic acid and anthocyanins reduces obesity and fat accumulation in C57BL/6J mice. Food & Function, 5(11), 2736-2746.
6. Lin, T. L., et al. (2017). Effect of Hibiscus sabdariffa L. extract on the metabolism of carbohydrates and lipids in high-fat diet-fed rats. Journal of Agricultural and Food Chemistry, 65(3), 646-655.
7. Kao ES, Yang MY, Hung CH, Huang CN, Wang CJ. Polyphenolic extract from Hibiscus sabdariffa reduces body fat by inhibiting hepatic lipogenesis and preadipocyte adipogenesis. Food Funct. 2016 Jan;7(1):171-82. doi: 10.1039/c5fo00714c. PMID: 26489044.







